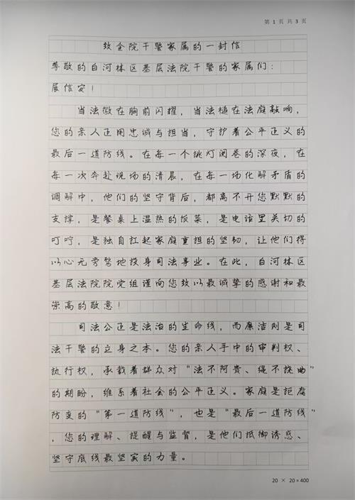
当前位置:首 页政企前沿司法动态详细内容
笔墨传廉意,家风护天平——白河林区基层法院“廉洁家书”架起家庭助廉桥
来源:中国法治 作者:陈思洁  日期:2025-12-9 字体: [大][中][小]

    家风正则民风淳,民风淳则政风清。司法廉洁的防线,既要靠干警自身坚守,更离不开家庭的守护与助力。近日,白河林区基层法院向全体干警家属寄出了一封封廉洁信,以笔墨传廉意,用真情筑防线,一场跨越单位与家庭的“廉洁互动”温情上演。

    这封满载诚意的书信,既是对干警家属长期以来默默支持、监督提醒的崇高敬意,更是一次廉洁理念的深度传递。信中清晰阐释了法院工作的纪律红线与廉政底线,诚挚倡导家属们当好“家庭纪律监督员”,让家庭成为拒绝诱惑、抵御风险的“避风港”,以良好家风为司法廉洁保驾护航。

    一纸传情,家属回信见初心

    廉洁信寄出后,迅速引发干警家属的强烈共鸣,真挚反馈接踵而至。大家纷纷表示,通过这封信,更深刻理解了法院干警工作的特殊性、敏感性,也明晰了不可触碰的纪律底线,将主动扛起“家庭监督”责任——不仅做生活上的“贤内助”,更要做廉洁自律的“廉内助”,用实际行动守护家庭清白,常吹“廉洁风”、勤敲“警示钟”,让廉洁齐家的理念深入人心。

    其中一封家属回信,情真意切令人动容:我家的灯总比邻家亮得久,他要么在单位阅卷,要么深夜改文书,有时接个电话便又匆忙出门。我明白,他逐字审阅的案卷、反复打磨的文书,都关乎另一个家庭的未来与期盼。作为家属,我早已习惯配合他的工作节奏,妥善照料家庭事务。每当听他说起“案子判得公正,当事人真诚致谢”时,我便觉得所有的付出都有了意义……

    上次家长会,孩子满怀自豪地向同学们介绍“我爸爸是维护公平正义的法官”,赢得了全班的掌声。这份让孩子引以为傲的荣光,比任何金银都珍贵。作为家属,我深知家庭助廉的重要意义,我一定守好家里的“门岗”,不该收的东西绝不进门,不该传的话绝不转达。他在外守护“大公平”,我在家守好“小港湾”,严守纪律红线,只走坦荡清正之路……这封回信,不仅是干警家属的内心独白,更是家庭助廉行动的鲜活写照。

    双向奔赴,廉风劲吹聚合力

    这场“廉洁信+家属回信”的双向互动,也让干警们深受触动,主动与家属共学廉洁信内容,分享岗位职责与纪律要求,将家属的理解与支持化为廉洁司法的强大动力。干警们纷纷表示,将时刻绷紧纪律之弦,严守道德“高线”与纪律“底线”,自觉践行中央八项规定精神,以“一身正气、两袖清风”守护司法公正,确保承办的每一起案件都经得起法律、历史和人民的检验。

    家是最小国,国是千万家。白河林区基层法院以“廉洁家书”为纽带,将廉洁文化融入家庭建设,用家风“小气候” 温润司法“大生态”。下一步,白河林区基层法院将持续深化廉洁家风建设,探索家庭助廉新路径,让廉洁之风浸润每一个干警家庭,为锻造忠诚、干净、担当的法院队伍,维护社会公平正义筑牢家庭防线!(作者单位:白河林区基层法院政治部)

↓ [相关文章]                [发表评论(共0条)] [↑返回顶部] [打印本页] [关闭窗口]
关键字:

类别: